Pompe à anneau liquide TRHE 32-4/C/GH
La pompe à vide à anneau liquide TRAVAINI TRHE 32-4/C/GH à bout d’arbre nu (sans moteur) a un débit nominal de m3/h et un vide limite de 33 mbars.
Pour plus d’informations techniques veuillez consulter la description technique ci-dessous.
D’autres configuration dans cette taille de pompe sont disponibles : différente garniture, un autre matière des différents composants ✆ contactez nos experts pour réaliser votre configuration.
Les Pompe à anneau liquide TRHE 32-4/C/GH sont des Pompe à anneau liquide, à double étage de compression.
Caractéristiques techniques d'une Pompe à anneau liquide TRHE 32-4/C/GH
| Nom | Description |
|---|---|
| Débit | m3/h |
| Vide limite | 33 mbars |
| Poids | n.c. kg |
| Débit alimentation anneau liquide | 0.195 m3/h |
| Certification | - |
Matériaux :
| Corps de pompe | Disque distributeur | Roue à aubes | Lanterne |
|---|---|---|---|
| Fonte | Fonte | Bronze | - |
Pour plus d'information : 📄Télécharger la fiche technique ou ✆ contactez-nous.
Avantages des pompes travaini de la série cette série TRHE :
Des pompes à anneau liquides sont maintenables et robustes :
- Elles sont fabriquées avec moins de composants que ce qui est généralement requis. Ce point permet d'augmenter la rigidité, la robustesse et de faciliter le remontage.
- Ma longueur de l'arbre est considérablement réduite, éliminant ainsi le risque potentiel de flexions de l'arbre et de vibrations sur les garnitures mécaniques.
Des pompes sont personnalisables :
- Toutes les pompes acceptent des garnitures mécaniques unifiées selon les normes DIN 24960. Des constructions avec garnitures mécaniques doubles (tandem ou dos à dos) ou des garnitures mécaniques de type cartouche sont également disponibles sur demande.
- En plus des matériaux standards, ces pompes sont également disponibles avec des matériaux spéciaux tels que Ni-Resist D2B, Hastelloy B ou C, Uranus B6 etc. pour répondre à des exigences spécifiques.
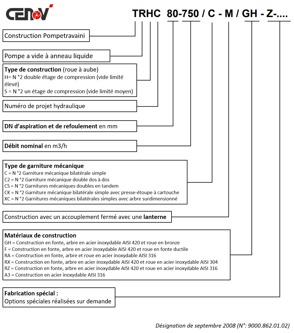
Désignation d'une pompe à anneau liquide TRHE chez travaini :
La dénomination de pompe chez pompetravaini nous donne beaucoup d'informations. Vous trouverez ci-dessous un mémo qui vous aidera à décrypter la désignation d'une pompe à anneau liquide TRHE travaini. 













Avis
Il n’y a pas encore d’avis.